垂询电话:
电子邮箱:

天线极化与失配损耗的解析

天线极化是天线中一个很重要的参数,它与失配损耗的关系也非常大,本文将从这两者之间的关系进行解析。

一、天线极化的概念

天线极化是无线电波的电场(E面)相对于地球表面的朝向,并且由天线的物理结构和方向所确定。它与天线的方向性方面没有共同之处,有水平极化,垂直极化和圆极化。

当一个简单直线天线垂直安装时它有一个极化,当水平安装是,它有一个不同的极化。电磁波极化滤波器直接作用于电磁波,用来过滤掉预期外的能量波,并传递预期的极化能量波。

一般考虑极化的影响,对于无线电波,最重要的反射是电离层,信号的极化反射会变幻莫测。对于通过电离层的反射信号,极化不能预知。对于视距通讯,极化可以依靠具有发射机和接收机相同极化使信号发生极大变化;对于几十分贝的差距,这是足以弥补这个巨大的变化。

各种天线结构的极化大多是可以预测的,尤其是定向天线,旁瓣的极化可以与其主传播波瓣的完全不同。对于无线天线,极化对应的是天线辐射原件的方向。例如最常见的垂直全向WIFI天线具有垂直极化。唯一的一个例外是细长的波导天线,当其垂直放置时,天线出现水平极化。许多商业天线被标记为它们的发射的信号极化。

在一般情况下,极化是椭圆形的(投影是长椭圆形),这意味着,随时间变化无线电波从天线发射的极化是变化的。两种特殊情况是线性极化(椭圆合拢成一条线)以及圆极化(接近圆)。在线性极化中,天线会迫使发射的无线电波朝向特定的电场。根据天线安装的方向,通常线性极化是水平极化和垂直极化。在圆极化中,天线连续变化的无线电波的电场通过其对于地球表面定向的所有可能值。圆极化就像椭圆极化一样,被分为左侧极化及右侧极化,满足“拇指传播方向”规则。

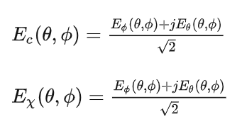
光学研究者使用拇指规则,但是它指向发射器的方向,而不是传播放方向,所以他们与无线电工程师使用的方法相反。产生圆极化的天线比如螺旋天线。然而,圆极化也可由线性极化天线通过两个端口具有相等的幅度及他们之间具有90°相位差馈送天线产生。从远区线性场分量,圆极化可以表示为:

其中Ec是圆极化的共极,这种情况下,采用左侧圆极化,并且Ex是交叉极化,或者右侧圆极化。

二、天线极化与失配损耗的关系

在实践中,匹配线性极化天线是很重要的,否则所接收的信号强度大大降低。所以水平极化天线应该水平使用,垂直极化天线同理。一般的匹配会造成一些信号强度的损失,但并不像完全失配。

安装在车辆上的发射机有较大的运动自由度通常使用圆极化天线,所以绝不会与其他来源的信号完全不匹配。以雷达为例,这些信号通常从雨滴反射。为了传输发射天线和接收天线之间的最大功率,这两个天线必须具有相同的空间取向,相同的极化,以及相同的轴向比。

当天线未对齐或具有不同的极化,两个天线之间的功率传输将减少。功率传输的减少会降低整个系统的效率和性能。当发射和接收天线都是线性极化,物理天线未对准将导致极化失配损耗。

总之,在一个发射和接收天线之间的极化失配越大,损失就越大。可以使用极化效应改善点到点链接。使用监测工具从相邻网络观察干扰,并旋转天线,直到看到最低的接受信号。然后把链接的另一端进行极化匹配,即使在嘈杂的无线电环境中,此技术有时可以用来建立稳定的链接。

点击查看更多射频微波产品

快捷服务

我的购物车
在线咨询
技术咨询
微信公众号

微信公众号

样品申请